Pagsusulat pagsayaw pagkanta pagarte pagpinta iskultura at marami pang iba. Ang Pilipinas ay kilala sa makukulay na pista kasabihan tradisyon at ibat-ibang paniniwala.
Gh On Twitter 218 Https T Co Kael2prv5y Twitter
Katangian At Kalikasan Ng Menu Ng Pagkain MANOLO L.

Tuwing lunch ng theater arts ano ang pagkain. Inaasahan dito ang paggiging kakaiba ng kulay o presentasyon ng pagkain at salitang gagamitin upang mailarawan ito. Magsimba syempre kaso d ko naman nagagawa tuwing off day. Upang mas maging kapani-paniwala na masarap ang isang pritong.
Kulturang Pilipino atbp. Pangatlong benepisyo ng wastong pagtulog ay ang pagtulong nito sa pag-improve ng memorya. Ang mga halimbawa ng mga grow foods ay tulad ng mga karnegatas keso at iba pang mga pagkain na mayaman sa protina.
1 point A. Naaangkop din ito kahit ano pa ang nilalamang damdamin ng comment. Picnic po syempre magluluto ng paborito nating pagkain pinoy.
Ano ang english ng nakakadiri pagkain. Magtanong ukol sa pag-alaga sa mga. Nakaayos ang mga ito batay sa uri ng pagkain kung ito ba ay pampagana sabaw kanin panghimagas ulam na gawa sa karne isda gulay o kung itoy mga inumin.
Nagtatagpo ang dalawang prusisyon at dalawang karosa. Kaakibat nito ang nararanasang hirap sa pagalala ng mga impormasyon petsa o mga napag-usapan. Nasa maigsing distansya lang ang Hotel Shocard mula sa Radio City Music Hall Rockefeller Center at Empire State Building.
Isang bansa na kinilala bilang Perlas ng Silangan. Nagsisimula ito sa dalawang magkahiwalay na prusisyon ng imahen ni Kristo na susundan ng kalalakihan at ng imahen ng Birhen na susundan ng kababaihan. Ano ang menu ng pagkain manual.
Up to 24 cash back Ang museo ay nagpapakita ng mga larawan at memorabilia na ipinapakita ang kultura at kasaysayan ng Angeles City. Ang pagguhit ay isa sa mga pangunahing anyo ng sining biswal. Ito ay ang nag-iisang bansa na Pilipinas ang.
GIRON ZAMBALES NATIONAL HIGH SCHOOL. Ali hack itso trouve kahulugan ng 123. Maglaan ng isang maliit na space pwedeng lamesita at ito ang gagawin nating altar.
4tapos ang pinakagusto namin libangan Ay maglaro ng bowling or magiingay sa Karaoke. Patuloy na pagkain nang kakaunti tuwing kakain. Hinahain ang all-American cuisine sa on-site restaurant na may kasamang mga signature cocktail sa tuwing gabi.
Kung gagawin mo ito matitiyak mong nakatutulong ka sa mga nangangailangan ayon sa iyong kakayahan. Agio - siya ang unang panganib na dumating nang malanta ang rosas. View ARTS JUNE 11pptx from BEED 101 at Batangas State University.
At maaaring mapawi ang maraming mga sintomas na nauugnay sa hindi pagkatunaw ng pagkain kabilang ang pagduduwal bloating at. Alamin ang mga senyales ng babala na ipinapatupad sa iyong komunidad. Window shopping and bonding with friends.
Bayang nasakop ng mga dayuhan ngunit sa pagtakbo ng oras atin ding nakamtan ang kalayaan dahil sa pagmulat ng ating mga mata sa hubad katotohanan. Hotel HGU New York. Maraming uri ng sining.
Ang Arts ay ibigsabihin sa tagalog ay SINING- ito ay medyum upang ipahiwatig ang ating nararamdaman sa mga bagay na nakapalibot sa ating buhay. Ang mga lungsod na ito ay parehong may tradisyon na ipinagdiriwang na may kaugnayan sa relihiyon o pananampalataya ng mga tao. Ang pagkain ay isang pangangailangan ngunit ang pagluluto ay isang sining -anonymous.
Mayaman sa ibat ibang larangan ng kultura at paniniwala ang mga Pilipino. Marahil lahat tayo ay nakaranas na ng pagpalya ng ating mga memorya kung tayo ay kulang sa tulog. Hebreo 1316 Pansinin na bukod sa pagbabahagi ng mga bagay-bagay sa iba.
Ikaw ang kung ano kumain ka at sa pamamagitan ng pagpapabuti ng iyong diyeta ikaw ay mapabuti ang iyong pantunaw proseso. Ito ay karaniwang tumutukoy sa pagmamarka ng. Ang New York ay hindi lamang tahanan ng lehitimong teatro sa America ngunit mahahanap mo rin ang pinakamahusay na mga paaralan ng drama sa New York.
May isang permanenteng eksibisyon ng mga pambihirang Angeleños na daig sa ibat ibang mga patlang dioramas ng Kapampangan tradisyon at isang seksyon na nakatuon sa pamana ng pagkain ng rehiyon pati na. Ang salúbong ang pagtatanghal o ritwal tuwing bukang-liwayway ng Linggo ng Pagkabuhay na nagtatampok sa pagtatagpo ng imahen ni Kristo at ni Birhen Maria. ANG KAHULUGAN NG ARTS.
Im no beauty queen im just beautiful me. Nakalagay din sa menu ang halaga ng bawat isa upang makapili ang mga mamimili ng. Human translations with examples.
Narito ang 10 pagkain na pagalingin ang iyong gat at tulong sa pantunaw. Mga Internship at Mga Oportunidad sa Trabaho. Ano ang mga halimbawa ng grow food at ano ang naidudulot nito sa ating katawan.
Huwag ninyong kalilimutan ang paggawa ng mabuti at ang pagbabahagi ng mga bagay-bagay sa iba sapagkat sa gayong mga hain ay lubos na nalulugod ang Diyos. Tag and share show some love guys virtual high five Search for. Nagdiriwang ang mga lungsod na ito ng Ka-Angkan.
Ang sustansyang ibinibigay ng go foods ay ang protina ito ang sangkap upang ang ating katawan ay lumakas at tumangkad. Ang mga ito ay nagmula sa kultura ng ating mga ninuno at mga unang mangangalakal at. Magdasal at ipagsindi ng kandila ang mga namayapang mahal sa buhay.
Ano ang kinakain ng mga pusa tuwing umaga. Alamin kung anong mga uri ng sakuna ang malamang na mangyari. Ito ang ilan sa mga paraan para maging makabuluhan pa rin ang paggunita ng Undas para sa buong pamilya.
Ubod ng gandang lokasyon - ipakita ang mapa Subway access. Isa ito sa mga masayang ipinagdiriwang dahil magtatapos na ang isang taon at papasok na naman tayo sa panibagong yugto ng buhay. Ipatong ang mga picture ng namayapa nating kamag-anak.
PULU Bulacans Finest. Sa panahon ngayon maraming sining na makabago at kakaiba na. Siya ay ang mayabang na heneral ng Kulaman isa sa mga kahariang naiinggit sa kaharian nina Tulalang.
3 Gabay sa pagsulat ng Menu 1 Hitsura-Layunin nitong paglawayin ang tumitingin sa litrato upang masigurong pipiliin n tagatangkilik ang pagkain na kaniyang nakita. Contextual translation of ano ang kahulugan ng menu ng pagkain into Tagalog. Humingi ng impormasyon kung paano maghanda para sa bawat isa.
34 East 32nd Street New York NY 10016 USA. Maaaring limitado o hindi available. Huwag nang magmerienda sa pagitan ng pagkain o nang lihim.
Narito ang kanilang mga kasagutan. Bawasan ang starchy junk foods at mga inuming de bote at ang matatamis at masesebo na pagkain tulad baga ng mantikilya at aseite at halinhan ito ng isang masustansiya balanseng pagkain. May ibat ibang tradisyon din sa ibat ibang panig ng.
Ang pahayag na ito ay nagpapakita ng pagkakatulad o pagkakaiba ng mga lungsod ng Pasig at San Juan. Kumain nang mas mabagal. Lungsod ng Quezon at Makati 32.
Siya rin ay laging nagtatanim ng mahiwagang rosas na namumulaklak lamang tuwing tanghali at kapag nalanta ito ng wala sa panahon ang ibig sabihin ay may paparating na panganib. Ano ang tunog ng mga ito at kung ano ang dapat mong gawin kapag narinig mo ang mga ito.
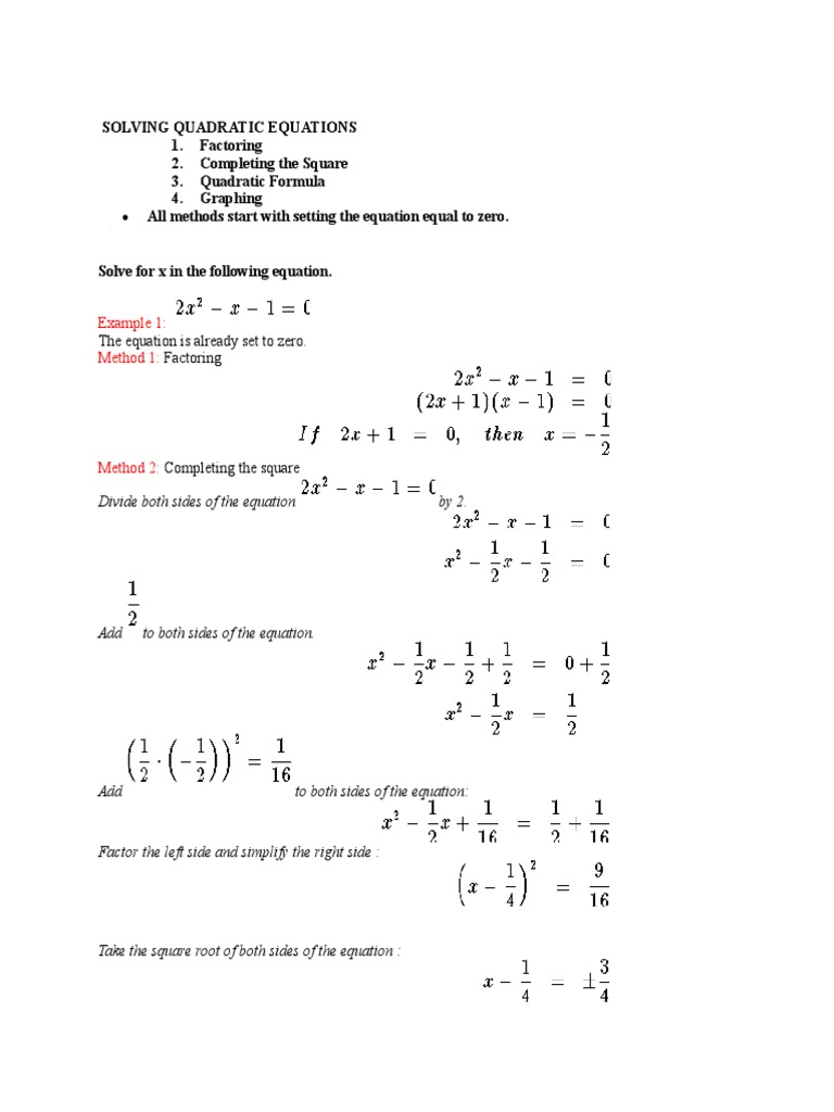
Four Methods In Solving Quadratic Equation Pdf Quadratic Equation Factorization
Cassiopeia On Twitter 43 Donkissfam Donkiss Https T Co 8odg5fysgo Twitter


Komentar